please re-login

Chemical Properties of Chromium, tricarbonyl[(1,2,3,4,5,6-«eta»)-hexamethylbenzene]- (CAS 12088-11-8)

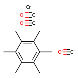
Chromium, tricarbonyl[(1,2,3,4,5,6-«eta»)-hexamethylbenzene]-

PDF Excel Molecule Calculator
InChI
InChI=1S/C12H18.3CO.Cr/c1-7-8(2)10(4)12(6)11(5)9(7)3;3*1-2;/h1-6H3;;;;
InChI Key
QHYWVVUQIBPVLG-UHFFFAOYSA-N
Formula
C15H18CrO3
SMILES
Cc1c(C)c(C)c(C)c(C)c1C.[C-]#[O+].[C-]#[O+].[C-]#[O+].[Cr]
Molecular Weight1
298.30
CAS
12088-11-8
Other Names
  • Chromium, tricarbonyl(hexamethylbenzene)-
  • (Hexamethylbenzene)chromium tricarbonyl
  • Tricarbonyl(hexamethylbenzene)chromium
  • («eta»
Cheméo is a service of Céondo GmbH, since 2007, we provide simulation, modelling and software development services for the industry. Do not hesitate to contact us for your projects.

Physical Properties

Property Value Unit Source
Δfgas [-562.00; -538.00] kJ/mol Show Hide
Δfgas -562.00 ± 14.00 kJ/mol NIST
Δfgas -538.00 ± 13.00 kJ/mol NIST
Δfsolid [-685.00; -662.00] kJ/mol Show Hide
Δfsolid -685.00 ± 13.00 kJ/mol NIST
Δfsolid -662.00 ± 12.00 kJ/mol NIST
Δsub [123.00; 123.40] kJ/mol Show Hide
Δsub 123.40 ± 4.20 kJ/mol NIST
Δsub 123.00 ± 4.00 kJ/mol NIST
IE [6.40; 7.24] eV Show Hide
IE 6.40 ± 0.10 eV NIST
IE 6.88 eV NIST
IE 7.24 ± 0.05 eV NIST
IE 7.00 eV NIST

Similar Compounds

Benzene, hexamethyl-. Hexamethylbenzene, deuterated. Pentamethylbenzaldehyde. Benzene, (chloromethyl)pentamethyl-. Benzene, 1,4-bis(chloromethyl)-2,3,5,6-tetramethyl-. Benzene, 1,3,5-tris(chloromethyl)-2,4,6-trimethyl-. 1,3-Dimethyl-2,4,5,6-tetrakis(chloromethyl)benzene. 1,2-Dimethyltetrakis(chloromethyl)benzene. Benzene, pentamethyl-. Chloropentamethylbenzene. Benzene, 1,2,4,5-tetramethyl-. Benzene, 1,2,3,5-tetramethyl-. Benzene, 1,2,3,4-tetramethyl-. Pentamethylphenylacetonitrile. Pentamethylbenzoic acid.

Find more compounds similar to Chromium, tricarbonyl[(1,2,3,4,5,6-«eta»)-hexamethylbenzene]-.

Sources

Note: Cheméo is only indexing the data, follow the source links to retrieve the latest data. The source is also providing more information like the publication year, authors and more. Take the time to validate and double check the source of the data.