Chemical Properties of 2-Propanamine, 2,n-dimethyl-1-phenyl-, sulfate

2-Propanamine, 2,n-dimethyl-1-phenyl-, sulfate

PDF Excel Molecule Calculator
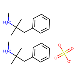
InChI
InChI=1S/2C11H17N.H2O4S/c2*1-11(2,12-3)9-10-7-5-4-6-8-10;1-5(2,3)4/h2*4-8,12H,9H2,1-3H3;(H2,1,2,3,4)
InChI Key
DNKCFBJMFIUNRS-UHFFFAOYSA-N
Formula
C22H36N2O4S
SMILES
C[NH2+]C(C)(C)Cc1ccccc1.C[NH2+]C(C)(C)Cc1ccccc1.O=S(=O)([O-])[O-]
Molecular Weight1
424.60
Cheméo is a service of Céondo GmbH, since 2007, we provide simulation, modelling and software development services for the industry. Do not hesitate to contact us for your projects.

Similar Compounds

Benzeneethanamine, N,«alpha»,«alpha»-trimethyl-. Phentermine. Benzphentermine. N-Trifluoroacetyl-phentermine. Phenethylamine, 4-chloro-alpha,alpha-dimethyl-, hydrochloride. Chlorphentermine. Phenethylamine, d-n,alpha-dimethyl-, hydrochloride. D-deoxyephedrine hydrochloride. 1-(4-Fluorophenyl)-2-methyl-2-propylamine. Urea, 1-(2-chloroethyl)-3-(alpha,alpha-dimethylphenethyl)-. Clotermine. Clortermine. Benzeneethanamine, N,«alpha»-dimethyl-. (-)-Deoxyephedrine. Methamphetamine.

Find more compounds similar to 2-Propanamine, 2,n-dimethyl-1-phenyl-, sulfate.

Sources

Note: Cheméo is only indexing the data, follow the source links to retrieve the latest data. The source is also providing more information like the publication year, authors and more. Take the time to validate and double check the source of the data.