Chemical Properties of Praseodymium oxalate

Praseodymium oxalate

PDF Excel Molecule Calculator
InChI
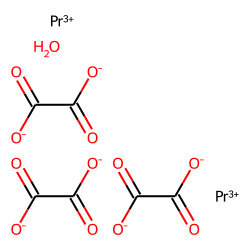
InChI=1S/3C2H2O4.H2O.2Pr/c3*3-1(4)2(5)6;;;/h3*(H,3,4)(H,5,6);1H2;;/q;;;;2*+3/p-6
InChI Key
SRENSJUZQFEVLD-UHFFFAOYSA-H
Formula
C6H2O13Pr2
SMILES
O.O=C([O-])C(=O)[O-].O=C([O-])C(=O)[O-].O=C([O-])C(=O)[O-].[Pr+3].[Pr+3]
Molecular Weight1
563.89
Cheméo is a service of Céondo GmbH, since 2007, we provide simulation, modelling and software development services for the industry. Do not hesitate to contact us for your projects.

Similar Compounds

Calcium oxalate. Nickel oxalate. Neodymium oxalate. Zinc oxalate. Molybdenum oxalate. Gadolinium oxalate. Calcium oxalate monohydrate. Thorium oxalate, dihydrate. Cadmium oxalate. Lanthanum oxalate. Ferric oxalate. Ferrous oxalate. Yttrium oxalate. Beryllium oxalate. Barium oxalate.

Find more compounds similar to Praseodymium oxalate.

Sources

Note: Cheméo is only indexing the data, follow the source links to retrieve the latest data. The source is also providing more information like the publication year, authors and more. Take the time to validate and double check the source of the data.