Chemical Properties of Nickel,bis(1,1,1-trifluoro-2,4-pentanedionato-O,O')- (CAS 14324-83-5)

Nickel,bis(1,1,1-trifluoro-2,4-pentanedionato-O,O')-

PDF Excel Molecule Calculator
InChI
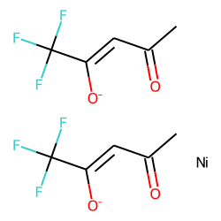
InChI=1S/2C5H5F3O2.Ni/c2*1-3(9)2-4(10)5(6,7)8;/h2*2,10H,1H3;/q;;+2/p-2/b2*4-2-;
InChI Key
OZXLPWBAEXCVOG-BGHCZBHZSA-L
Formula
C10H8F6NiO4
SMILES
CC(=O)C=C([O-])C(F)(F)F.CC(=O)C=C([O-])C(F)(F)F.[Ni]
Molecular Weight1
364.85
CAS
14324-83-5
Cheméo is a service of Céondo GmbH, since 2007, we provide simulation, modelling and software development services for the industry. Do not hesitate to contact us for your projects.

Physical Properties

Property Value Unit Source
IE 8.25 eV NIST

Temperature Dependent Properties

Property Value Unit Temperature (K) Source
ΔsubH 157.70 ± 3.30 kJ/mol 444.50 NIST

Similar Compounds

Rhodium, bis(«eta»2-ethene)(1,1,1-trifluoro-2,4-pentanedionato-O,O')-. Chromium, tris(1,1,1-trifluoro-2,4-pentanedionato-O,O')-. Rhodium, tris(1,1,1-trifluoro-2,4-pentanedionato)-. Bis(1,1,1,5,5,5-hexafluoro-2,4-pentanedionato)iron. 1,1,1,5,5,5-Hexafluoroacetylacetone iron(III) salt. Magnesium hexafluoroacetylacetonate. Vanadium(III) acetylacetonate. Rhodium, tris(2,4-pentanedionato-O,O')-, (OC-6-11)-. Bis(acetylacetonate)iron. Indium tris(acetylacetonate). Platinum(II) acetylacetonate. Ferric tris(acetylacetonate). Nickel acetylacetonate. Copper, bis(2,4-pentanedionato-O,O')-, (SP-4-1)-. Manganic acetylacetonate.

Find more compounds similar to Nickel,bis(1,1,1-trifluoro-2,4-pentanedionato-O,O')-.

Sources

Note: Cheméo is only indexing the data, follow the source links to retrieve the latest data. The source is also providing more information like the publication year, authors and more. Take the time to validate and double check the source of the data.