Chemical Properties of Chromium, tricarbonyl(mesitylene)-

Chromium, tricarbonyl(mesitylene)-

PDF Excel Molecule Calculator
InChI
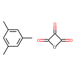
InChI=1S/C9H12.C3O3.Cr/c1-7-4-8(2)6-9(3)5-7;4-1-3(6)2-5;/h4-6H,1-3H3;;
InChI Key
JZOOOZZYYIQJCG-UHFFFAOYSA-N
Formula
C12H12CrO3
SMILES
Cc1cc(C)cc(C)c1.O=C1[Cr]C(=O)C1=O
Molecular Weight1
256.22
Cheméo is a service of Céondo GmbH, since 2007, we provide simulation, modelling and software development services for the industry. Do not hesitate to contact us for your projects.

Similar Compounds

Mesitylene. Chromium, tricarbonyl[«eta»6-1,3,5-trimethylbenzene]. Tungsten, tricarbonyl[(1,2,3,4,5,6-«eta»)-1,3,5-trimethylbenzene]-. Benzonitrile, 3,5-dimethyl-. 3-Methylbenzyl radical. Benzene, 1,3-dimethyl-. 5-Methylisophthalonitrile. 3,5-(CH3)2-C6H3-CCH. Benzaldehyde, 3,5-dimethyl-. 1-Chloromethyl-3,5-dimethylbenzene. Benzene, 1,3-bis-(chloromethyl)-5-methyl. «alpha»-Bromomesitylene. m-Xylene, 5-chloro-. Benzene, 1-iodo-3,5-dimethyl-. 5-Fluoro-m-xylene.

Find more compounds similar to Chromium, tricarbonyl(mesitylene)-.

Sources

Note: Cheméo is only indexing the data, follow the source links to retrieve the latest data. The source is also providing more information like the publication year, authors and more. Take the time to validate and double check the source of the data.