Chemical Properties of Tungsten, tricarbonyl[(1,2,3,4,5,6-«eta»)-1,3,5-trimethylbenzene]- (CAS 12129-69-0)

Tungsten, tricarbonyl[(1,2,3,4,5,6-«eta»)-1,3,5-trimethylbenzene]-

PDF Excel Molecule Calculator
InChI
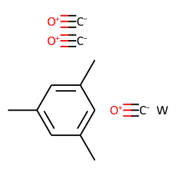
InChI=1S/C9H12.3CO.W/c1-7-4-8(2)6-9(3)5-7;3*1-2;/h4-6H,1-3H3;;;;
InChI Key
OENLQXWEAUYNBC-UHFFFAOYSA-N
Formula
C12H12O3W
SMILES
Cc1cc(C)cc(C)c1.[C-]#[O+].[C-]#[O+].[C-]#[O+].[W]
Molecular Weight1
388.06
CAS
12129-69-0
Other Names
  • Tungsten, tricarbonyl(mesitylene)-
  • Mesitylene tungsten tricarbonyl
  • Tricarbonyl(«eta»-mesitylene)tungsten
  • («eta»
Cheméo is a service of Céondo GmbH, since 2007, we provide simulation, modelling and software development services for the industry. Do not hesitate to contact us for your projects.

Physical Properties

Property Value Unit Source
Δfgas -366.20 ± 7.00 kJ/mol NIST
Δfsolid -477.20 ± 3.60 kJ/mol NIST
Δsub 111.00 ± 6.00 kJ/mol NIST
IE [7.00; 7.20] eV Show Hide
IE 7.00 eV NIST
IE 7.20 ± 0.05 eV NIST

Similar Compounds

Chromium, tricarbonyl[«eta»6-1,3,5-trimethylbenzene]. Mesitylene. Chromium, tricarbonyl(mesitylene)-. Benzonitrile, 3,5-dimethyl-. Benzene, 1,3-dimethyl-. 3-Methylbenzyl radical. 5-Methylisophthalonitrile. 3,5-(CH3)2-C6H3-CCH. Benzaldehyde, 3,5-dimethyl-. «alpha»-Bromomesitylene. 1-Chloromethyl-3,5-dimethylbenzene. m-Xylene, 5-chloro-. Benzene, 1,3-bis-(chloromethyl)-5-methyl. 5-Fluoro-m-xylene. Benzene, 1-iodo-3,5-dimethyl-.

Find more compounds similar to Tungsten, tricarbonyl[(1,2,3,4,5,6-«eta»)-1,3,5-trimethylbenzene]-.

Sources

Note: Cheméo is only indexing the data, follow the source links to retrieve the latest data. The source is also providing more information like the publication year, authors and more. Take the time to validate and double check the source of the data.